
Product center
Contact us
首頁
發布時間:2019-12-04 閱讀量:
在機械運動控制的中,精密行星減速機是一個機械能的轉換環節,電機的轉矩經精密齒輪減速機后得以放大,轉速得以降低,反之,負載的轉動慣量經精密齒輪減速機耦合到電機上,得以減小。其作用見下圖B-1

我們知道,理想的情況是傳遞過程功率守恒,但實際總是有損耗,設傳遞過程的效率是η,那么:TmWm/η=TL WL
又因為減速比i=Wm/ WL WL = Wm / i(B-1)
所以TL =iηTm(B-2)
Tm——電機力矩(NM),TL——載荷力矩(NM),
Wm,WL——電機,載荷角速度(弧度/s)
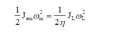
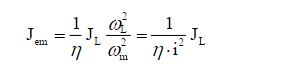
我們再來看一下齒輪減速器對轉動慣量的作用,由能量不滅的基本原理,在傳動鏈中,同一時刻的儲能相等:

從而得出:
(B-3)
Jem——折算到電機軸上的等效轉動慣量(kgm2)
JL——載荷轉動慣量(kgm2)
從上述推演可看出,平時我們很熟悉的關于齒輪箱的公式,都是源自物理學的能量守恒定理。
上述的(1)—(3)表示了減速機的三個基本功能:
1.降低伺服電機的轉速(WL)
伺服電機的額度功率一般體現在轉速1000rpm到6000rpm之間,甚至高達10000rpm以上,實際使用過程中很少使用到如此高的轉速,同時為了充分利用電機的額定功率,所以需要通過合適減速比的減速機來獲得需要的工作轉速。
2.轉矩放大(TL)
在電機輸入給減速機的功率一定的情況下,由于減速機輸出速度的降低,必然會獲得更大的輸出轉矩。很多情況下這也是巴普曼工業科技選用減速機的一個重要理由。
3.匹配負載轉動慣量(Jem)
伺服電機的慣量是比較小的,一般來說折算到伺服電機本身的負載慣量不能超過伺服電機本身慣量的4倍(不同品牌伺服電機的設計有很具體的數據),而實際應用中的負載有很多種,如果負載的慣量與電機能接受的慣量相差太遠,就會大大降低伺服電機的響應速度,從而影響生產效率和增大動態誤差。而行星減速機就能起到匹配慣量的關鍵作用。